人气:7732 发表时间:2021-04-21 14:09:34
干体炉,便携干体炉等热工类的干体校准炉的校准方法,都是引用的JJF1257-2010《干体式温度校准器校准方法》,该规范明确了使用范围,干体炉的定义、术语、计量特性、校准条件、校准项目和方法等几块内容。该规范的一些的主要内容如下:
1.范围
指出了该规范中规定的适用的范围为:-80℃~1300℃的干体式温度校准器(干体炉)的校准方法。
2.引用文献
l JJF 1071-2000《国家计量校准规范编写规则》
l EURAMET/cg-13/v.01 Calibration of Temperature Block Calibrators(干体式温度校准器校准)
3.术语和定义
明确给出了干体炉的定义,干体炉是利用内置均温块作用来保证插入均温块的被校准温度计与参考标准温度保持一致。
术语有“配合衬套”、“测量区”。
4.计量特性
计量的特性主要几点分别是:温度偏差、温度波动度、孔间偏差、轴向温场均匀性、负载特性。
5.校准条件
温度计尺寸的要求:①校准所用的温度计(含外保护套管的外径不应大于6mm,插入深度至少为其外径的15倍;②在-80℃至660℃温度范围,用于校准的温度计的外径与测温孔或是衬套的内径的差最大为0.5mm;在660℃至1300℃温度范围,这个值最大为1.0mm。紧密的尺寸配合和热传导手段有利于良好的传热。
温度计计量性能要求:①在进行温度偏差测量和负载特性时应该使用校准过的参考温度计,且其应溯源到国家温度基准。②在进行干体炉其它温度特性测量时,温度计只用于测量温差,可使用其他已知灵敏度和稳定性好的温度计,其测量值可不必校准,但其稳定性应该进行测试。
环境条件要求:温度(15℃~35℃),湿度(≤85%RH)。
6.校准项目和方法
校准的项目有:温度偏差、温度波动度、孔间温差、轴向温场均匀性、负载特性;
在对干体炉进行校准时应该注意以下几点:
l 如果对用于测量均温块温度的传感器和显示表需进行单独校准,应使其满足相对的技术指标。
l 对设备所作的任何调整应该在校准之前进行。
l 除了轴向温场测量以外所有的测量,温度计都应该在干体炉的测温孔的底部。
第一项,温度偏差校准方法
校准点的选择:校准温度点可根据客户要求进行选取,通常应不少于三个温度点,校准点应该尽可能的选取干体炉温度范围上、下限附近,进行均匀分布。
测温孔的选择:测温孔应该选择中心孔或者特点特点的孔。
数据的记录:干体炉的显示值和参考温度计的测量值,记录时间不少于10分钟,测量速度为每分钟一次。
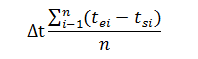
测量结果的计算:每次温度偏差按公式(1)计算

公式中:
△t表示在此校准温度点此次测量的干体炉温度显示值与测量温区温度的差;
tei表示第i次测量时,干体炉显示的温度值;
tsi表示的是第i次测量时,参考温度计测得的温度值;
n表示测量记录次数。
将校准点在上升测量值△t1和下降测量值△t2的平均值作为此校准点的测量结果△tr,按公司(2)计算

测量结果应该以数字、图解的方式或表格的形式给出。
第二项,温度波动度校准方法
将温度计插入干体炉测温孔中,当干体炉温度达到热平衡时(在厂家没有特别规定的条件下,以达到设定点温度后一个半波动周期为平衡判定),记录的30分钟内(每2分钟测量一次)温度计指示的温度值,取其最大值和最小值的差值的一半,冠以“±”作为干体炉的温度波动度。
测量应该选在三个不同的温度点进行,即最高温度点、最低温度点和室温附件。如果最高温度或最低温度点为室温,则第三个温度点应该选择在此温度区间的中间。
第三项,孔间温差校准的方法
测量不同测温孔之间的最大温度差。为了减少温度随时间的漂移的影响,可以在校验时增加一支温度计以消除温度漂移带来的影响。应选相对距离最远的两孔进行孔间的温度差值的测量。
参考方法:将两支温度计A、B分别插入两个测量孔#a、#b中。温度稳定后,第一次分别读取两支温度计的示值tAa1和tBb1。将温度计交换测量孔,即温度计A插入#b孔,温度计B插入#a孔。温度再次稳定后,第二次分别读取两支温度计的示值tAb2和tBa2。重复上述测量,共测量4次,孔间温度差值△tab为公式(3)计算

第四项,轴向温场均匀性校准方法
测量应该在中心孔进行或是在特殊标注的孔进行。
测量温度应选定在偏离环境温度最大的温度点上进行。对于干体炉测量区可以即加热又制冷,测量应该在最高的和最低的温度点上进行。温度的分布对其他温度点的影响可以通过线性内插得到。
使用小尺寸感温元件进行三点温度测量,使用感温元件最大长度为5mm的温度计,在测量区的底部、中部和顶部进行温度测量。温度计(含外保护管)的外径应不大于6mm。在测量温度范围为-80℃至250℃时,应使用铂电阻温度计,在250℃至1300℃时应使用热电偶(Pt-Pd热电偶)。
从底部向上40mm长度测量区的温场测量,应该按照下面的过程进行:
(1)温度计放到底部;
(2)温度计向上提至20mm;
(3)温度计向上提至40mm;
(4)温度计放到底部。
第五项,负载特性校准方法
对于不确定要求较高的测量,负载对测量区温度的影响应该进行必要的测量。推荐的方法是在某一温度点下,测得装载一支测试温度计和所有孔都装载温度计的测量结果的差值,作为负载对测量区温度的影响量。可以使用金属棒和陶瓷棒来模拟装载。测量温度点选取最远离室温的温度点。
以上就是干体炉设备的校准方法和相关的使用规范,北京雷火体育下载app雷火体育官网的便携干体计量炉系列,是专为工业过程环形设计的高精度、多功能温度计量测试产品,其体积小、精度高、升降温快、控温稳定、便于携带等一系列突出的特点是校验热电偶、热电阻、温度计、温度变送器、温度开关及热工仪表的理想产品。
400-058-2226
sales@cspmk.com
北京市海淀区西三旗金燕龙大厦6层

ICP备案号:京ICP备05083779号-1